| штат: | |
|---|---|
| Количество: | |
Гибискусовая кислота
World-way

Ботанический источник: Hibiscus sabdariffa.
Используемая часть: Чашечка
Внешний вид: Мелкий порошок бордово- красного цвета.
Растворимость: Хорошо растворим в воде.
Упаковка: 25 кг/бочка
Срок годности: 24 месяца
Хранение: Хранить в сухом, защищенном от света и плотно закрытом месте.
2. Эффективность продукта и механизм действия.
Экстракт гибискуса богат антоцианами, полифенолами, флавоноидами и органическими кислотами. Эти активные соединения приносят ему множество преимуществ для здоровья.
Механизм действия: антоцианы и полифенольные соединения в экстракте гибискуса являются мощными поглотителями свободных радикалов. Они эффективно подавляют окислительный стресс и защищают клетки от повреждений, вызванных свободными радикалами. Эти соединения нейтрализуют активные формы кислорода (АФК), отдавая электрон или атом водорода, что снижает перекисное окисление липидов и карбонилирование белков, а также замедляет процесс старения.4
Подтверждающие данные: исследование, опубликованное в журнале Food Chemistry, показало, что значение ORAC (способность поглощать кислородные радикалы) экстракта чашечек гибискуса было значительно выше, чем у многих обычных фруктов, демонстрируя его мощную антиоксидантную активность in vitro. Другое клиническое исследование на людях подтвердило, что пероральное введение экстракта гибискуса значительно увеличивает общую антиоксидантную способность в плазме пациентов.1
Механизм действия: Экстракт гибискуса улучшает здоровье сердечно-сосудистой системы различными способами. Содержащиеся в нем кверцетин и антоцианы могут ингибировать активность ангиотензинпревращающего фермента (АПФ), который помогает снизить кровяное давление. Кроме того, его полифенолы помогают уменьшить окисление липопротеинов низкой плотности (ЛПНП), предотвращая образование атеросклероза.3
Подтверждающие данные: Многочисленные двойные слепые плацебо-контролируемые исследования показали значительное снижение систолического и диастолического артериального давления у пациентов с легкой и умеренной гипертонией после приема экстракта гибискуса в течение 8 недель.2
Механизм действия: было показано, что экстракт гибискуса ингибирует активность амилазы, фермента, ответственного за расщепление сложных углеводов на простые сахара. Это может снизить усвоение углеводов и калорий. Кроме того, высокая концентрация полифенолов может регулировать гены, связанные с метаболизмом жиров, например, те, которые участвуют в адипогенезе (образовании жировых клеток) и липогенезе (синтезе жира), тем самым помогая предотвратить накопление жира.5
Подтверждающие данные: рандомизированное двойное слепое плацебо-контролируемое исследование с участием людей с избыточным весом продемонстрировало, что прием экстракта гибискуса в течение 12 недель привел к значительному снижению массы тела, процента жира в организме и ИМТ по сравнению с группой плацебо. Исследования на животных также подтвердили, что экстракт гибискуса дозозависимо снижает прибавку веса и накопление жира.67
Сравнение массы тела и содержания жировой ткани у хомяков HFD после кормления HSE
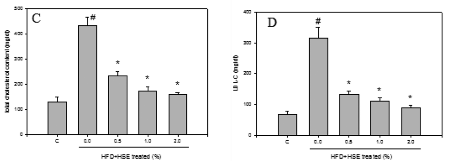
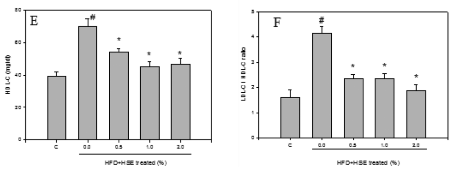
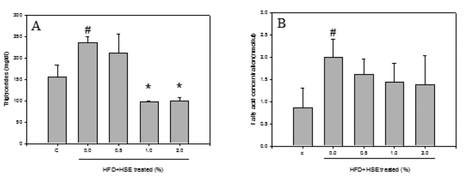
Сравнение уровней липидов в плазме у хомяков HFD после кормления HSE.
A : триглицериды B : жирные кислоты.
C : общий холестерин D : холестерин ЛПНП
E: Х-ЛПВП F : Х-ЛПНП/Х-ЛПВП
Благодаря своей превосходной пользе для здоровья и натуральному темно-красному цвету экстракт гибискуса широко используется в нескольких отраслях промышленности.
Продукты питания и напитки: его можно использовать в качестве натурального красителя и функционального ингредиента в соках, чаях, желе, конфетах и выпечке для усиления их антиоксидантной функции и привлекательного цвета.
Пищевые добавки: распространенные формы включают капсулы, таблетки, жидкости для перорального применения и порошки.
Дозировка: Рекомендуемая суточная доза обычно составляет 100–500 мг, в зависимости от состава продукта и желаемого эффекта.
Целевая группа населения: лица, заботящиеся о здоровье сердечно-сосудистой системы, и те, кто нуждается в повышении уровня антиоксидантов, например, пожилые люди и люди, ведущие образ жизни с высоким уровнем стресса.
Косметика: его можно добавлять в маски для лица, сыворотки, лосьоны и кремы из-за его антиоксидантных и противовоспалительных свойств, улучшающих тон кожи и замедляющих ее старение.
Сравнение продуктов:
Более высокое содержание основных соединений: многие экстракты гибискуса, представленные на рынке, имеют непостоянное содержание активных соединений, а в некоторых даже используются недорогие стебли и листья в качестве сырья. Наш экстракт использует в качестве источника только чашечку , используя запатентованную технологию низкотемпературной ультразвуковой экстракции. Это гарантирует, что содержание основного активного ингредиента, общего количества антоцианов , намного превышает средний показатель по отрасли.
Лучшая растворимость и стабильность. Многие некачественные продукты плохо растворяются в воде и могут привести к выпадению осадка, что влияет на внешний вид и вкус конечного продукта. Наш экстракт специально обработан для обеспечения превосходной растворимости и более высокой стабильности при изменениях pH, температуры и света, что делает его менее склонным к выцветанию.

Профессиональные технологии и исследования и разработки. Наша команда исследований и разработок сотрудничает с исследовательскими институтами в стране и за рубежом, чтобы постоянно оптимизировать процессы экстракции и разрабатывать индивидуальные решения для различных потребностей рынка.
Устойчивая цепочка поставок: мы установили долгосрочные партнерские отношения с высококачественными фермами гибискуса, обеспечивая стабильные и надежные поставки сырья, которое соответствует принципам устойчивого развития.
Комплексная система управления качеством: Наше производство сертифицировано по ISO 9001, HACCP и другим международным стандартам. Мы строго внедряем систему управления качеством, чтобы гарантировать, что каждая партия нашей продукции безопасна, эффективна и отслеживается.
Ссылка:
1. Али З. и др. (2018). Полифенольный состав, антиоксидантная активность и биодоступность экстракта Hibiscus sabdariffa L. calyces. Пищевая химия, 257, 10-18.
2. Эррера-Арельяно А. и др. (2007). Эффективность и переносимость стандартизированного экстракта Hibiscus sabdariffa у пациентов с легкой и умеренной гипертонией: контролируемое и рандомизированное клиническое исследование. Фитомедицина, 14(1), 37-43.
3. Маккей, Д.Л. и др. (2010). Чай Hibiscus sabdariffa L. (тизан) снижает кровяное давление у взрослых с предгипертензией и легкой гипертонией. Журнал питания, 140(2), 298-303.
4. Олайинка А.О. и др. (2020). Эффективность экстракта гибискуса сабдариффа на перекисное окисление липидов и антиоксидантный статус у пациентов с гипертонией: двойное слепое рандомизированное плацебо-контролируемое клиническое исследование. Журнал функциональных продуктов питания, 66, 103859.
5. Чанг Х.К. и др. (2014). Экстракт гибискуса (Hibiscus sabdariffa L.), богатый протокатеховой кислотой и антоцианами, снижает ожирение и накопление жира у мышей C57BL/6J. Еда и функции, 5 (11), 2736–2746.
6. Лин, Т.Л. и др. (2017). Влияние экстракта Hibiscus sabdariffa L. на метаболизм углеводов и липидов у крыс, получавших диету с высоким содержанием жиров. Журнал сельскохозяйственной и пищевой химии, 65 (3), 646-655.
7. Као ES, Ян М.Ю., Хун CH, Хуан CN, Ван CJ. Полифенольный экстракт гибискуса сабдариффа уменьшает жировые отложения за счет ингибирования липогенеза в печени и адипогенеза преадипоцитов. Функция питания. Январь 2016 г.;7(1):171-82. doi: 10.1039/c5fo00714c. PMID: 26489044.

Ботанический источник: Hibiscus sabdariffa.
Используемая часть: Чашечка
Внешний вид: Мелкий порошок бордово- красного цвета.
Растворимость: Хорошо растворим в воде.
Упаковка: 25 кг/бочка
Срок годности: 24 месяца
Хранение: Хранить в сухом, защищенном от света и плотно закрытом месте.
2. Эффективность продукта и механизм действия.
Экстракт гибискуса богат антоцианами, полифенолами, флавоноидами и органическими кислотами. Эти активные соединения приносят ему множество преимуществ для здоровья.
Механизм действия: антоцианы и полифенольные соединения в экстракте гибискуса являются мощными поглотителями свободных радикалов. Они эффективно подавляют окислительный стресс и защищают клетки от повреждений, вызванных свободными радикалами. Эти соединения нейтрализуют активные формы кислорода (АФК), отдавая электрон или атом водорода, что снижает перекисное окисление липидов и карбонилирование белков, а также замедляет процесс старения.4
Подтверждающие данные: исследование, опубликованное в журнале Food Chemistry, показало, что значение ORAC (способность поглощать кислородные радикалы) экстракта чашечек гибискуса было значительно выше, чем у многих обычных фруктов, демонстрируя его мощную антиоксидантную активность in vitro. Другое клиническое исследование на людях подтвердило, что пероральное введение экстракта гибискуса значительно увеличивает общую антиоксидантную способность в плазме пациентов.1
Механизм действия: Экстракт гибискуса улучшает здоровье сердечно-сосудистой системы различными способами. Содержащиеся в нем кверцетин и антоцианы могут ингибировать активность ангиотензинпревращающего фермента (АПФ), который помогает снизить кровяное давление. Кроме того, его полифенолы помогают уменьшить окисление липопротеинов низкой плотности (ЛПНП), предотвращая образование атеросклероза.3
Подтверждающие данные: Многочисленные двойные слепые плацебо-контролируемые исследования показали значительное снижение систолического и диастолического артериального давления у пациентов с легкой и умеренной гипертонией после приема экстракта гибискуса в течение 8 недель.2
Механизм действия: было показано, что экстракт гибискуса ингибирует активность амилазы, фермента, ответственного за расщепление сложных углеводов на простые сахара. Это может снизить усвоение углеводов и калорий. Кроме того, высокая концентрация полифенолов может регулировать гены, связанные с метаболизмом жиров, например, те, которые участвуют в адипогенезе (образовании жировых клеток) и липогенезе (синтезе жира), тем самым помогая предотвратить накопление жира.5
Подтверждающие данные: рандомизированное двойное слепое плацебо-контролируемое исследование с участием людей с избыточным весом продемонстрировало, что прием экстракта гибискуса в течение 12 недель привел к значительному снижению массы тела, процента жира в организме и ИМТ по сравнению с группой плацебо. Исследования на животных также подтвердили, что экстракт гибискуса дозозависимо снижает прибавку веса и накопление жира.67
Сравнение массы тела и содержания жировой ткани у хомяков HFD после кормления HSE
Сравнение уровней липидов в плазме у хомяков HFD после кормления HSE.
A : триглицериды B : жирные кислоты.
C : общий холестерин D : холестерин ЛПНП
E: Х-ЛПВП F : Х-ЛПНП/Х-ЛПВП
Благодаря своей превосходной пользе для здоровья и натуральному темно-красному цвету экстракт гибискуса широко используется в нескольких отраслях промышленности.
Продукты питания и напитки: его можно использовать в качестве натурального красителя и функционального ингредиента в соках, чаях, желе, конфетах и выпечке для усиления их антиоксидантной функции и привлекательного цвета.
Пищевые добавки: распространенные формы включают капсулы, таблетки, жидкости для перорального применения и порошки.
Дозировка: Рекомендуемая суточная доза обычно составляет 100–500 мг, в зависимости от состава продукта и желаемого эффекта.
Целевая группа населения: лица, заботящиеся о здоровье сердечно-сосудистой системы, и те, кто нуждается в повышении уровня антиоксидантов, например, пожилые люди и люди, ведущие образ жизни с высоким уровнем стресса.
Косметика: его можно добавлять в маски для лица, сыворотки, лосьоны и кремы из-за его антиоксидантных и противовоспалительных свойств, улучшающих тон кожи и замедляющих ее старение.
Сравнение продуктов:
Более высокое содержание основных соединений: многие экстракты гибискуса, представленные на рынке, имеют непостоянное содержание активных соединений, а в некоторых даже используются недорогие стебли и листья в качестве сырья. Наш экстракт использует в качестве источника только чашечку , используя запатентованную технологию низкотемпературной ультразвуковой экстракции. Это гарантирует, что содержание основного активного ингредиента, общего количества антоцианов , намного превышает средний показатель по отрасли.
Лучшая растворимость и стабильность. Многие некачественные продукты плохо растворяются в воде и могут привести к выпадению осадка, что влияет на внешний вид и вкус конечного продукта. Наш экстракт специально обработан для обеспечения превосходной растворимости и более высокой стабильности при изменениях pH, температуры и света, что делает его менее склонным к выцветанию.

Профессиональные технологии и исследования и разработки. Наша команда исследований и разработок сотрудничает с исследовательскими институтами в стране и за рубежом, чтобы постоянно оптимизировать процессы экстракции и разрабатывать индивидуальные решения для различных потребностей рынка.
Устойчивая цепочка поставок: мы установили долгосрочные партнерские отношения с высококачественными фермами гибискуса, обеспечивая стабильные и надежные поставки сырья, которое соответствует принципам устойчивого развития.
Комплексная система управления качеством: Наше производство сертифицировано по ISO 9001, HACCP и другим международным стандартам. Мы строго внедряем систему управления качеством, чтобы гарантировать, что каждая партия нашей продукции безопасна, эффективна и отслеживается.
Ссылка:
1. Али З. и др. (2018). Полифенольный состав, антиоксидантная активность и биодоступность экстракта Hibiscus sabdariffa L. calyces. Пищевая химия, 257, 10-18.
2. Эррера-Арельяно А. и др. (2007). Эффективность и переносимость стандартизированного экстракта Hibiscus sabdariffa у пациентов с легкой и умеренной гипертонией: контролируемое и рандомизированное клиническое исследование. Фитомедицина, 14(1), 37-43.
3. Маккей, Д.Л. и др. (2010). Чай Hibiscus sabdariffa L. (тизан) снижает кровяное давление у взрослых с предгипертензией и легкой гипертонией. Журнал питания, 140(2), 298-303.
4. Олайинка А.О. и др. (2020). Эффективность экстракта гибискуса сабдариффа на перекисное окисление липидов и антиоксидантный статус у пациентов с гипертонией: двойное слепое рандомизированное плацебо-контролируемое клиническое исследование. Журнал функциональных продуктов питания, 66, 103859.
5. Чанг Х.К. и др. (2014). Экстракт гибискуса (Hibiscus sabdariffa L.), богатый протокатеховой кислотой и антоцианами, снижает ожирение и накопление жира у мышей C57BL/6J. Еда и функции, 5 (11), 2736–2746.
6. Лин, Т.Л. и др. (2017). Влияние экстракта Hibiscus sabdariffa L. на метаболизм углеводов и липидов у крыс, получавших диету с высоким содержанием жиров. Журнал сельскохозяйственной и пищевой химии, 65 (3), 646-655.
7. Као ES, Ян М.Ю., Хун CH, Хуан CN, Ван CJ. Полифенольный экстракт гибискуса сабдариффа уменьшает жировые отложения за счет ингибирования липогенеза в печени и адипогенеза преадипоцитов. Функция питания. Январь 2016 г.;7(1):171-82. doi: 10.1039/c5fo00714c. PMID: 26489044.







